shippingposition
  • Home
  • News
  • Editorial
    • Vox Pop
  • Maritime safety
  • Oil and Gas
  • Personality
  • Health
No Result
View All Result
shippingposition

Home » Vessels Expected At Lagos Ports As At 14th January, 2026

Vessels Expected At Lagos Ports As At 14th January, 2026

by Joshua
January 14, 2026
in The Terminals

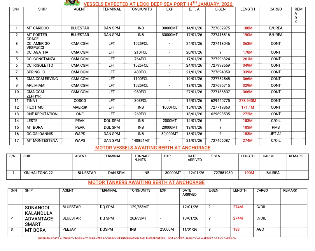
Vessels Expected At Lagos Ports As At 14th January 2026


Related Posts

Vessels Expected At Lagos Ports As At 19th February, 2026

Vessels Expected At Lagos Ports As At 19th February, 2026

February 19, 2026
Vessels Expected At Lagos Ports As 17th February, 2026

Vessels Expected At Lagos Ports As 17th February, 2026

February 17, 2026
Vessels Expected At Lagos Ports As At 13th February, 2026

Vessels Expected At Lagos Ports As At 13th February, 2026

February 13, 2026
Vessels Expected At Lagos Ports As At 5th February, 2026

Vessels Expected At Lagos Ports As At 5th February, 2026

February 5, 2026

Latest News

Vessels Expected At Lagos Ports As At 19th February, 2026

Vessels Expected At Lagos Ports As At 19th February, 2026

February 19, 2026

NAGAFF Appoints New Interim Chairman In Kebbi

Harvestfield Trade Zone To Curb r Imports, Boost Local Production – NEPZA

Tin Can Customs Rakes in ₦145.9bn in January, Unveils Paperless Regime to Fast-Track Trade

Customs, ASR Foundation Unveil 60-Bed Reference Hospital In Bauchi

Navy Hands Over Seized 250 Bags Of Rice To Customs In Badagry

Global Navies Gather As India Hosts MILAN 2026, Int’l Fleet Review

Regional Trade Key To Africa’s Economic Transformation – Kale 

Freight Forwarders Breathe Easy as Customs Maintains Old Licensing Fees

Customs Denies Manipulating FX Rates, Cites CBN Authority

Gov Mourns As 14 Wedding Guests Drown In Kebbi Boat Mishap

ANLCA Tin Can Chairman Prince Wale Cole Bags National Grand Patron Title from APC Support Group

kindly like our Facebook page

Health

World Cancer Day: Cancer Not Always Death Sentence  Says Oncologist
Health

World Cancer Day: Cancer Not Always Death Sentence  Says Oncologist

February 9, 2026

An Oncologist, Dr Adebayo Oladeji on Wednesday, underscored the urgent need to strengthen nationwide screening for cancer, in a bid...

58% Women Of Reproductive Age Are Anaemic- FG

58% Women Of Reproductive Age Are Anaemic- FG

February 2, 2026
Harmattan And The Effect Of Dust On The Lungs

Harmattan And The Effect Of Dust On The Lungs

February 2, 2026

Take A Lot Of Fluid To Assist Your Kidneys Function Well–Experts

January 26, 2026
Take A Lot Of Fluid To Assist Your Kidneys Function Well–Experts

NAFDAC Begins Enforcement Of Ban On Sachet Alcohol

January 26, 2026
Customs Seize Vehicles, PMS, Donkey Products Worth N229m In Bauchi

Customs Seize Vehicles, PMS, Donkey Products Worth N229m In Bauchi

January 24, 2026

Cervical Cancer:  Preventable, Curable — UN

January 19, 2026
Energy drinks

Cardiologist Warns Against Excessive Consumption Of Energy Drinks

January 19, 2026
More Reasons You Must Exercise

More Reasons You Must Exercise

December 15, 2025
Why Your Favourite Seasoning Cubes May Be Hurting Your Kidneys

Why Your Favourite Seasoning Cubes May Be Hurting Your Kidneys

December 15, 2025

© 2021 Shippingposition

Navigate Site

  • Home
  • About Us
  • Contact us
  • Privacy Policy
  • Editorial Policy
  • Sitemap
  • Terms

Follow Us

No Result
View All Result
  • News
  • Coast To Coast
  • Oil and Gas
  • Maritime Education
  • The Terminals
  • Maritime safety

© 2021 Shippingposition